
Agenda
Ajuste
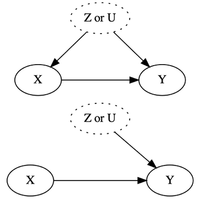
Inferencia causal y confusión
Métodos de Control de Confusión
Algunos problemas cuando se hacen inferencias causales
En un estudio que evalúa la relación entre
fumar(variable independiente) y elvolumen expiratorio forzado(variable dependiente), se encuentran los siguientes resultados crudos (sin ajustar por otras variables) y ajustado por grupo etario:

El VEF medio en fumadores fue 0.71 L/s más que el VEF medio en no fumadores.

El VEF medio en fumadores fue 0.16 L/s menos que el VEF medio en no fumadores, manteniendo constante el grupo de edad.
En el análisis crudo, fumar se asocia con mejor función pulmonar en comparación con no fumar.
En el análisis ajustado, fumar se asocia con peor función pulmonar en comparación con no fumar.
El coeficiente de regresión estimado \(\hat{\beta}_1\) (\(b_\text{fumar}\)) es una medida de la asociación cruda (univariada/bivariada) entre la variable explicativa fumar y la variable respuesta volumen expiratorio forzado en 1º minuto (VEF).
diferencia de medias de VEF entre fumadores y no fumadores en toda la muestra, sin tener en cuenta otras características.En sentido descriptivo, esta asociación cruda puede ser útil para describir diferencias clínicas relevantes:
\[\hat{\text{VEF}}_i = \hat{\beta}_0 + \hat{\beta}_1\text{Fumar}_i + \hat{\beta}_kI(\text{Grupo etario} = k)\]
Cuando se analiza en cada grupo etario (“3-9 años”, “10-11 años”, “12-19 años”), la relación entre VEF y fumar se invierte en cada grupo.
La asociación entre VEF y Fumar se evalúa en cada estrato de la covariable.
\[\hat{\beta}_{1\text{(ajustado)}} = b_{\text{fumar 3-9 años}}\frac{n_\text{fuma 3-9 años}}{n_\text{total}} + b_{\text{fumar 10-11 años}}\frac{n_\text{fuma 10-11 años}}{n_\text{total}} + b_{\text{fumar 12-19 años}}\frac{n_\text{fuma 12-19 años}}{n_\text{total}}\]
\[\hat{\beta}_{1\text{(ajustado)}} = (-0.08)(\frac{309}{654}) + (-0.26)(\frac{171}{654}) + (-0.18)(\frac{174}{654}) = -0.154\]
“Ajustar” en regresión significa obtener una medida de asociación condicionada en los valores de una o más covariables de ajuste.
"(...) manteniendo constante (...)"
Algunas cosas que hacer notar
A: X y Z no están relacionadas.
B: Z está relacionada a Y bivariadamente.
C: X está relacionada a Y bivariadamente.
D:

Algunas cosas que hacer notar
A: X y Z altamente relacionados.
B: Z está relacionada a Y bivariadamente.
C: X está relacionada a Y bivariadamente.
D:

Algunas cosas que hacer notar
A: X y Z están relacionados positivametne.
B: Z tiene relación + con Y bivariadamente.
C: X tiene relación + con Y bivariadamente.
D:

Algunas cosas que hacer notar
A: X y Z NO están relacionados bivariadamente.
B: Z e Y NO están relacionados bivariadamente.
C: X tiene relación + con Y bivariadamente.
D:

Algunas cosas que hacer notar
A: X y Z NO están relacionados bivariadamente.
B: Z e Y NO están relacionados bivariadamente.
C: X no guardan relación lineal con Y bivariadamente.
D:
Agenda
Ajuste
Inferencia causal y confusión
Métodos de Control de Confusión
Algunos problemas cuando se hacen inferencias causales
Disciplina interdisciplinaria que estudia los métodos que permiten estimar el efecto causal de una intervención o exposición sobre uno o más desenlaces a partir de datos experimentales u observacionales.
La meta no es cualquier ‘efecto’ (o ‘asociación’).
No busca solo determinar la existencia de un efecto causal, también se busca estimar su magnitud.
“(…)todo acontecimiento o toda situación que no ha sucedido en el universo actualemnte observable por la investigación humana pero que podría haber ocurrido en otros universos posibles” Fuente Wikipedia
¿Hay una forma de probar irrefutablemente el efecto causal de una intervención en un individuo?
Existen dos multiversos exactamente iguales, salvo por una sola cosa:
Intervención (o exposición):
Resultados Potenciales (Outcome o desenlace)
\[Tratamiento ~ X = x ~ causa ~ Y \text{en individuo } i\]
\[\leftrightarrow Y_i^{x = 1} \neq Y_i^{x = 0}\]
\[\text{Efecto Causal de }X \text{ (1 vs 0) en individuo }i = \] \[ = Y_i^{x = 1} - Y_i^{x = 0}\]
En la realidad, solo podemos observar un resultado potencial.
Por lo tanto, es imposible identificar los efectos causales individuales.
Si no podemos estimar estimar efectos individuales, ¿qué podemos hacer?
¡Tampoco tenemos el contrafactual promedio poblacional!
Estimar efectos causales promedio en poblaciones.
No queremos simplemente comprar grupos, queremos hacer algo más radical:
Comparar a la población consigio misma en un mundo alternativo donde recibió un tratamiento diferente.
Queremos saber: “¿Qué hubiera pasado si…? (What if…?)
[1] "img/emular-contrafactual.png"
Desenlace de interés
Intervenciones bien definidas
Población bien definida cuyos resultados potenciales serán comparados.
Suposiciones razonables para realizar inferencia causal.
Modelo estadístico bien puesto y estimador computable.
Efecto Promedio del Tratamiento en Toda la Población
Average Treatment Effect (ATE)
\(ATE = \frac{1}{N} \sum_{i=1}^N (Y_i^1 - Y_i^0)\)
Efecto Promedio del Tratamiento en los Tratados
Average Treatment Effect (ATE)
\(ATT = \frac{1}{N_t} \sum_{i=1}^N (Y_i^1 - Y_i^0 | T_i = 1)\)
Efecto Promedio del Tratamiento en los Controles
Efecto Promedio Local del Tratamiento
Local average treatment effect (LATE)
También conocido como Efecto causal promedio en adherentes o cumplidores.
Otros: CATE, CATC, etc.
Nótese que aunque tengamos un censo (toda la población de interés evaluada), siempre tendremos una muestra de los resultados potenciales:
¡Siempre tendremos incertidumbre en la estimación del efecto causal!
Debemos estimar el “grado de incertidumbre” para el estimado puntual de efecto causal: valor p e intervalos de confianza válidos son necesarios.
Consistencia
Requiere “Stable Unit Treatment Value Assumption (SUTVA)”
No interferencia entre unidades + Una sola versión de la intervención (intervención bien definida)
Ignorabilidad
También llamada intercambiabilidad (excheangbility)
No confusión residual
Positividad
Agenda
Ajuste
Inferencia causal y confusión
Métodos de Control de Confusión
Algunos problemas cuando se hacen inferencias causales
Cuando el sesgo de confusión es una amenaza, podemos optar por dos medidas:
Opción 1: No controlar confusión
En cambio usar un diseño que asuma una “asignación aleatoria natural”.
El efecto estimado en realidad es “local”, no es “global”.
Enfoque preferido por economistas.
En Farmacoepidemiología y en análisis por protocolo de ensayos clínicos se usa para lidiar con el problema de no adherentes o no cumplidores del tratamiento.
Opción 2: Controlar directamente la confusión.
Enfoque de variable instrumental.
Solo se puede hacer cuando es razonable suponer que se cuenta con un instrumento bueno.
Estándar de oro:
En el diseño:
Asignación aleatoria física.
Restricción.
Pareamiento (matching) en el diseño.
En el análisis:
Regresión de deselaces.
Puntajes de propensión: Matching, Ponderación, Otros.
Ponderación por inverso de probabilidad de selección.
Modelos estructurales marginales.
Estandarización.
Fórmula G paramétrica, etc.
Diversos métodos tienen diferentes supuestos.
Esto ocasiona que los resultados puedan diferir entre enfoques de análisis.
Algunos métodos tienen ventajas respecto a otros.
En general, todos comparten la necesidad de controlar por confusión:
Idealmente: Ignorabilidad
No debe haber confusión residual.
No debe haber sesgo de selección (p.ej., estratificación por colisionador o ajuste en mediador)
En la práctica: La confusión residual debe ser despreciable.
Herramienta matemática que permite describir las relaciones causa-efecto, evaluar sus condiciones de identificabilidad y orientar la obtención de estimados causales.
Agenda
Ajuste
Inferencia causal y confusión
Métodos de Control de Confusión
Algunos problemas cuando se hacen inferencias causales
Falacia que ocurre de interpretar los coeficientes de regresión de las variables confusoras.
El modelo de regresión está diseñado para estimar efectos causales de una variable de exposición de interés.
El efecto causal de un confusor sobre el desenlace debe tener su propio conjunto de confusores.
https://github.com/psotob91
percys1991@gmail.com
R Aplicado a los Proyectos de Investigación - Sesión 11